Повідомити про помилку
* - Обов'язкові поля
Відправити
ГДЗ 9 клас Істер 2026 (Алгебра, Геометрія, Математика)
  1. ГДЗІстер9
  2. Алгебра
  3. Розділ 1
  4. § 7. Системи лінійних нерівностей
  5. 7.20
§ 7. Системи лінійних нерівностей з однією змінною, їх розв’язування № 7.1 – 7.42

Завдання № 7.20

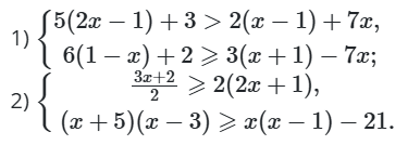
Знайдіть найменше ціле число, що є розв’язком системи:

Завдання № 7.20 Алгебра

Розв'язок:

 

 

  • Завдання № 7.19 Завдання № 7.19
  • Завдання № 7.21 Завдання № 7.21
Повідомити про помилку
© 2026 GDZIster.com.ua
  • Головна
  • Алгебра
    • Повторення
    • Розділ 1
      • § 1. Числові нерівності
      • § 2. Основні властивості
      • § 3. Почленне додавання і множення
      • § 4. Нерівності зі змінними
      • § 5. Числові проміжки
      • § 6. Лінійні нерівності з однією змінною
      • § 7. Системи лінійних нерівностей
      • Домашня самостійна робота 1
      • Завдання для перевірки знань до § 1–7
      • Вправи для повторення розділу 1
    • Розділ 2
      • § 8. Функції
      • § 9. Властивості функції
      • § 10. Найпростіші перетворення
      • § 11. Функція y = ax^2 + bx + c, a ≠ 0
      • Домашня самостійна робота 2
      • Завдання для перевірки знань до § 8–11
      • § 12. Квадратна нерівність
      • § 13. Розв’язування систем
      • § 14. Система двох рівнянь
      • Завдання для перевірки знань до § 12–14
      • Вправи для повторення розділу 2
    • Розділ 3
      • § 15. Числові послідовності
      • § 16. Арифметична прогресія
      • § 17. Сума n арифметичної
      • § 18. Геометрична прогресія
      • § 19. Формула складних відсотків
      • § 20. Сума n геометричної
      • § 21. Нескінченна прогресія
      • Домашня самостійна робота 4
      • Завдання для перевірки знань до §§ 15–21
      • Вправи для повторення розділу 3
    • Розділ 4
      • § 22. Комбінаторні задачі
      • § 23. Випадкова подія
      • § 24. Класичне означення ймовірності
      • § 25. Початкові відомості
      • § 26. Вибірка
      • Домашня самостійна робота 5
      • Завдання для перевірки знань до §§ 22–26
      • Вправи для повторення розділу 4
    • ЗПЗ за 9 клас
    • Задачі підвищеної складності
  • Геометрія
    • Повторення
    • Розділ 1
      • § 1. Координатна площина
      • § 2. Синус, косинус, тангенс
      • § 3. Координати середини відрізка
      • § 4. Рівняння кола
      • § 5. Рівняння прямої
      • Домашня самостійна робота 1
      • Завдання для перевірки знань до §§ 1–5
      • Вправи для повторення розділу 1
    • Розділ 2
      • § 6. Вектор
      • § 7. Координати вектора
      • § 8. Додавання і віднімання векторів
      • § 9. Множення вектора на число
      • § 10. Скалярний добуток векторів
      • Домашня самостійна робота 2
      • Завдання для перевірки знань до §§ 6–10
      • Вправи для повторення розділу 2
    • Розділ 3
      • § 11. Теорема косинусів
      • § 12. Теорема синусів
      • § 13. Розв’язування трикутників
      • § 14. Формули
      • Домашня самостійна робота 3
      • Завдання для перевірки знань до §§ 11–14
      • Вправи для повторення розділу 3
    • Розділ 4
      • § 15. Правильні многокутники
      • § 16. Довжина кола
      • § 17. Площа круга
      • Домашня самостійна робота 4
      • Завдання для перевірки знань до §§ 15–17
      • Вправи для повторення розділу 4
    • Розділ 5
      • § 18. Переміщення
      • § 19. Симетрія відносно точки
      • § 20. Симетрія відносно прямої
      • § 21. Поворот
      • § 22. Паралельне перенесення
      • § 23. Перетворення
      • § 24. Площі подібних фігур
      • Завдання для перевірки знань до §§ 18–24
      • Домашня самостійна робота 5
      • Вправи для повторення розділу 5
    • Розділ 6
      • § 26. Взаємне розміщення прямих
      • § 27. Взаємне розміщення прямої
      • § 28. Взаємне розміщення площин
      • § 29. Пряма призма
      • § 30. Піраміда
      • § 31. Циліндр
      • § 32. Конус
      • § 33. Куля
      • Вправи для повторення розділу 6
    • ЗПЗ за 9 клас
    • Задачі підвищеної складності
    • Додаток
  • Математика
    • Частина 1
      • ПОВТОРЮЄМО ГЕОМЕТРІЮ
    • Частина 2