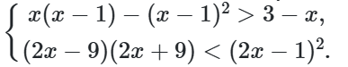
Український борець греко-римського стилю Жан Беленюк має унікальну колекцію нагород з міжнародних турнірів. Розв’яжіть систему нерівностей

Знайдіть добуток $101x_0,$ де $x_0$ - найбільший цілий розв’язок системи нерівностей, відтак дізнаєтеся, якого року Жан здобув свою найвищу нагороду - став олімпійським чемпіоном.
Розв'язок:
