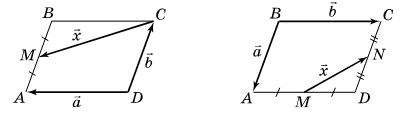
Вправи для повторення розділу 2 № 1 – 54 Завдання № 36 ABCD - паралелограм. Виразіть вектор $\vec{x}$ через вектори $\vec{a}$ i $\vec{b}.$ Розв'язок: Завдання № 35 Завдання № 35 Завдання № 37 Завдання № 37